Opinions

Four-dimensional flow MRI for evaluation of post-stenotic turbulent flow in a phantom: comparison with flowmeter and computational fluid dynamics

by Petter Dyverfeldt and Tino Ebbers ([email protected])

Kweon, J., Yang, D.H., Kim, G.B. et al. (2016) Four-dimensional flow MRI for evaluation of post-stenotic turbulent flow in a phantom: comparison with flowmeter and computational fluid dynamics. Eur Radiol 26: 3588.

Dear Editor,

A recent study by Kweon et al evaluated 4D flow MRI for evaluation post-stenotic turbulent flow and conclude that phase-contrast magnetic resonance imaging (PC-MRI) has limitations in the assessment of turbulent characteristics [1]. Evaluation and understanding of the limitations of measurement techniques are important steps towards improvement of the techniques. Unfortunately, this study seems to be based on experiments using an uncommon measurement technique that does not seem to provide any information about the turbulent velocity fluctuation intensity (〖u'〗_{rms}) that Kweon et al claim to estimate. Due to this seemingly improper choice of methodology, conclusions regarding any limitations of PC-MRI in the assessment of turbulent characteristics cannot be drawn.
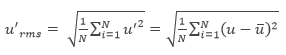
In turbulent flows, Reynolds decomposition can be used to decompose the velocity, u, into the ensemble averaged mean velocity, bar{u}, and the fluctuating velocity u': u'=u-bar{u}. The root-mean-square of u', 〖u'〗_{rms}, is a commonly used measure of turbulent velocity fluctuation intensity:

〖u'〗_{rms}= sqrt(frac{1}{N} sum_{i=1}^N▒〖u'〗^2 )=sqrt(frac{1}{N} sum_{i=1}^N▒(u-bar{u})^2 ) [Equation 1]

Kweon et al refer to this this equation but do in fact use the following equation instead:

 〖u'〗_{rmsKweon}= sqrt(frac{1}{N} sum_{i=1}^N▒u_{PC-MRI'}^2 )        [Equation 2]

where uPC-MRI is the spatiotemporally averaged velocity estimated by PC-MRI, which is an estimate of bar{u}. Kweon et al estimate 〖u'〗_{rmsKweon} by performing repeated measurements of uPC-MRI.

Consequently, 〖u'〗_{rmsKweon} is not an estimate of 〖u'〗_rms. In fact, 〖u'〗_{rmsKweon} should not contain any information of u' at all. Any information seen in the 〖u'〗_{rmsKweon} data should be related to artefacts in PC-MRI velocity estimates in turbulent flow that has no known relationship to turbulent quantities. The results shown in Figure 5, for example, are most probably results of so called view-to-view artefacts, which occur when the object is not consistent throughout the acquisition of k-space, such as in the fluctuating shear regions of a jet.

Since one of the goals of the study of Kweon et al was to estimate turbulence characteristics, we are surprised that they did not use PC-MRI turbulence mapping, which does permit estimation of 〖u'〗_{rms} and related turbulent quantities such as turbulent kinetic energy [2, 3]. This method uses the magnitude images of the individual flow encodings obtained in PC-MRI to estimate 〖u'〗_{rms} by exploiting the effects of turbulent fluid motion on the magnitude of the MR signal. In their discussion about their low-quality 〖u'〗_{rmsKweon} data, Kweon et al claim that MR turbulence mapping requires multipoint encoding and prolonged scan times. This is incorrect. While MR turbulence mapping indeed can be done with multipoint encoding [4], it is most commonly carried out with conventional 4-point PC-MRI with asymmetric motion-encoding [5]. While multiple studies, including studies by Kweon and colleagues, have evaluated this technique in a variety of flow conditions [6–12], evaluation should be a continuous process and we look forward to more studies of the capabilities of the increasingly common MR turbulence mapping method.

If you would like to comment on this letter, please send your comments together with full contact data to [email protected]. Replies and comments will be reviewed by the Editorial Office and published on this website.

References